MBG1032 - Doç.Dr.Alper YILMAZ - 18 Mart 2024
Taralı bölgenin alanını bulunuz. Kemik yoğunluğu verisinde ortalama 0 ve standart sapma 1 olduğunu kabul ediniz.

Yine aynı veride, işaretli Z skorunu bulunuz.

Taralı bölgenin alanını bulunuz. Toplanan veriler IQ değerlerine aittir ve ortalaması 100 ve standart sapması 15’tir.

Aşağıda işaret edilen IQ değerini bulunuz

13-20 yaş arası kadınlarda kalp atış hızı ortalama 74 ve standart sapması 12.5’tir. Rastgele seçilen bir kadının;
kalp atış hızının 100’den az olması,
kalp atış hızının 80’den çok olması,
kalp atış hızının 70 ile 90 arasında olması, ihtimallerini hesaplayınız.
P90 değerini bulunuz (alttaki 90% ile üstteki 10% ayıran değer)
İlk çeyrek dilime (Q1) denk gelen kalp atış hızı değerini bulunuz.
Bir DNA dizisinde ortalama mutasyon sayısı 1000 baz çifti başına 3’tür. 1000 baz çifti uzunluğundaki bir dizide tam olarak 2 mutasyon gözlemleme olasılığı nedir?
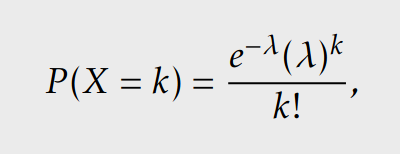
Formül:

Bir DNA dizisinde ortalama mutasyon sayısı 1000 baz çifti başına 3’tür. 5000 baz çifti uzunluğundaki bir dizide tam olarak 2 mutasyon gözlemleme olasılığı nedir?
Bir doku kesitindeki hücrelerin ortalama sayısı 100 ise, bir doku kesitinde 120’den fazla hücre gözlemleme olasılığı nedir?
Belirli bir deney sonrasında ortaya çıkan örneklerdeki ortalama virüs parçacığı sayısı 5’tir. Bir örnekte 3’ten az virüs parçacığı gözlemleme olasılığı nedir?
Bir kasabada belirli bir hastalığın ortalama yeni vaka sayısı yılda 5 ise, önümüzdeki 6 ay içinde hiç yeni vaka olmama olasılığı nedir? (Yıllık yeni vaka sayısının Poisson dağılımı izlediği varsayılarak)
Belirli bir tıbbi testte başarı olasılığının 0.8 olduğunu varsayalım. İlk başarılı test sonucunun üçüncü denemede olma olasılığı nedir?
Formül:

Bir DNA dizisinde mutasyon oluşma olasılığının 0.001 olduğunu varsayalım. Mutasyonsuz bir DNA segmentinin başarılı bir şekilde dizilenmesinin ilk kez onuncu denemede olma olasılığı nedir?
Bir DNA parçasının başarılı bir şekilde PCR ile çoğaltılma olasılığının 0.9 olduğunu varsayalım. İlk başarılı çoğaltmanın ilk 5 denemede olma olasılığı nedir?